



挥发性有机化合物(VOC)的排放是造成空气污染的主要因素之一。 VOCs的来源多种多样,主要来源是各种工业生产过程中的废气排放。将导致严重的大气环境问题,制约社会经济的可持续发展。
催化氧化是将 VOC 氧化成 CO2、水和其他危害相对较小的化合物的最有效且经济可行的技术之一。催化氧化的目标是完全破坏 VOC。在这种方法中,VOC 在合适的催化剂存在下,在比热氧化过程低得多的温度(250–500 °C)下被氧化。
贵金属催化剂具有反应活性高、稳定性好、抗中毒能力强、易于再生等优点,是VOCs催化氧化常用的催化剂之一。
贵金属VOCs蜂窝催化剂高效贵金属蜂窝VOCs催化剂EP101是一款专为有机废气治理而设计的高效催化材料,采用高活性贵金属成分负载于堇青石或金属蜂窝载体上,结构规则、比表面积大,气体流通性强,适用于各类低浓度、大风量的VOCs处理场景。
采用独特的制备工艺,可保证贵金属含量,并使贵金属在载体表面高度分散,有效增加活性位数量,从而保证催化效率;添加稀土氧化物提等助剂调变表面酸碱性,升热稳定性,改善存储氧性能,使催化剂具有良好的低温催化活性和抗中毒能力。
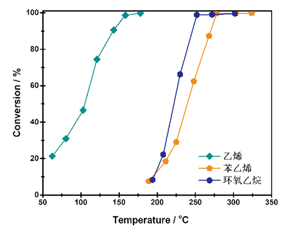
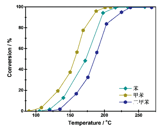
针对不同类型污染物,如含氧类、不饱和烃类、不饱和烃类、三苯类、链烃类等VOCs污染物,以及H₂、CO、甲醛等小分子类污染物,对配方进行相应调整,使之具备更高效的净化能力。



制药、印刷、喷涂、电子、石化、油气存储及其他涉及有机废气排放的行业
上一篇暂无
下一篇
高效球状VOCs催化剂
企业名称:
艾克威环保科技
热线电话:
18653390106
公司地址:
山东省淄博市桓台县东岳化工园
电子邮箱:
kefu@ecovia.cn
扫码关注我们
Copyright © 2017-2025 山东艾克威环保科技有限公司 版权所有 鲁ICP备2025160181号 鲁公网安备37030302001109号 sitemap.xml